Skip to main content
Back to top
Ctrl
+
K
Introduction
Machine Learning
01 Intro to ML
02 Linear and Logistic Regression
03 Model Training and Improvement
04 Trees and Ensembles
05 Support Vector Machines
06 Clustering
07 Dimensionality Reduction
08 Невронни мрежи
09 Time Series
Data Science
01 Data Acquisition
02 Data Tidying
03 Data Visualization
04 Images and Text
05 Spatial Data and Networks
06 Regression
07 Project Architecture
Handwritten
Coef of determination
Cross entropy
Epochs batches trainingsteps
Error
Information gain
Linear regression
Mae mse rmse
Metrics
Neural networks
Pca basic intuition
Probability
Sparsity
Squared loss
Variation
Repository
Open issue
.md
.pdf
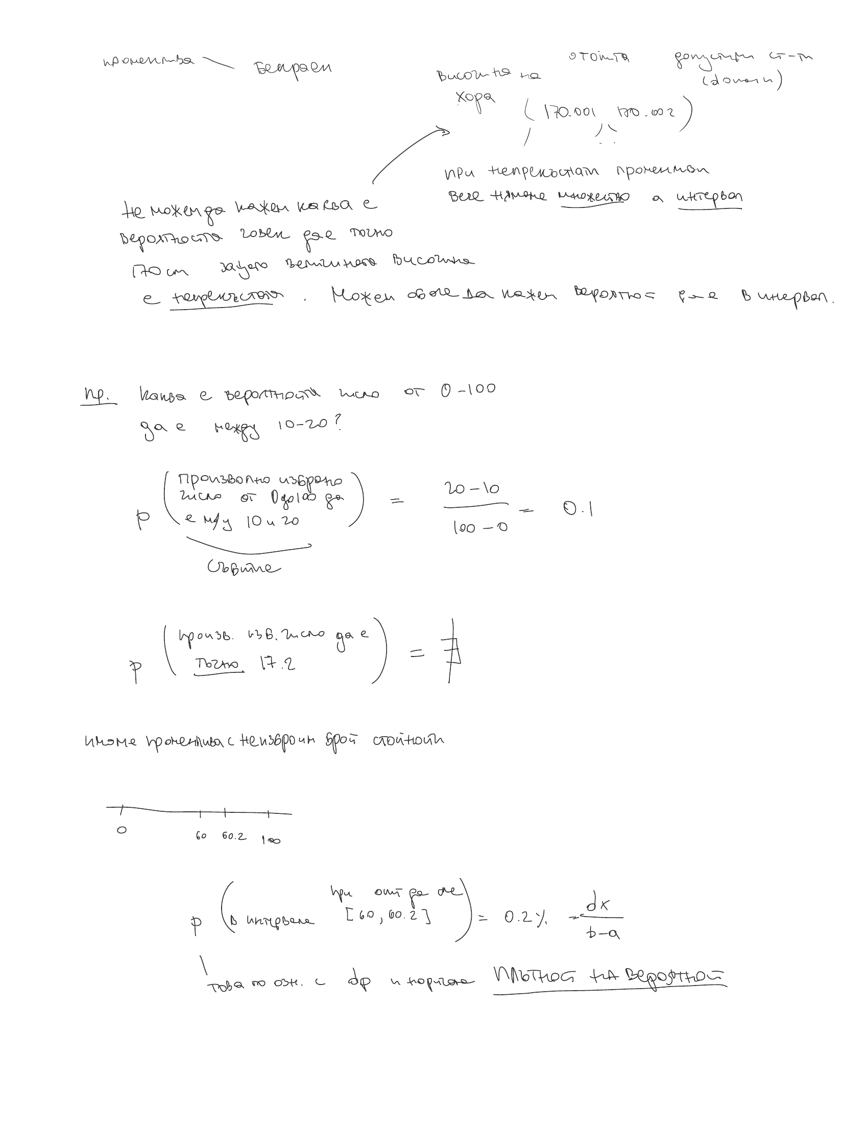
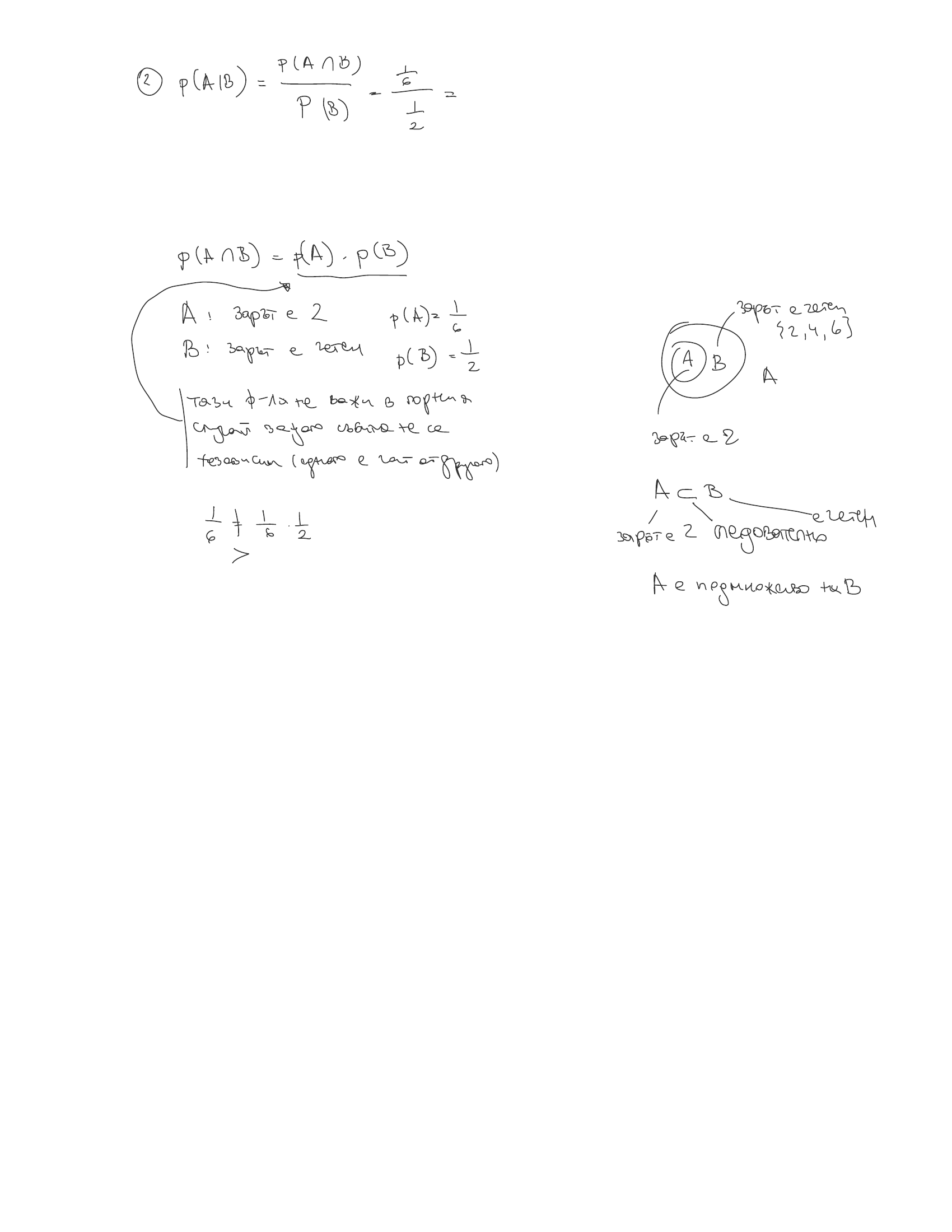
Probability
Probability
#